热点关注
新型节能高出水标准污水处理工艺
本发明的新型节能的高出水标准污水处理系统,包括碳源捕捉池、一次沉淀池、厌氧水解池、二次沉淀池、MBR滤池和亚硝氮投加设备,一次沉淀池与二次沉淀池之间沿污水流向依次设置有一次厌氧氨氧化池、短程反硝化池和二次厌氧氨氧化池,仅碳源捕捉池中设置有曝气装置,亚硝氮投加设备向一次沉淀池的出水中添加亚硝酸盐。本发明的处理工艺,包括:a).曝气吸附;b).一次污水沉淀;c).有机物分解;d).一次厌氧氨氧化;e).反硝化作用;f).二次厌氧氨氧化;g).二次污水沉淀;h).膜过滤。本发明的污水处理系统的处理工艺,曝气量更低,耗能更低,脱氮效率更高,出水水质更好,且处理过程中可将污泥中污染物进行充分利用。
权利要求书
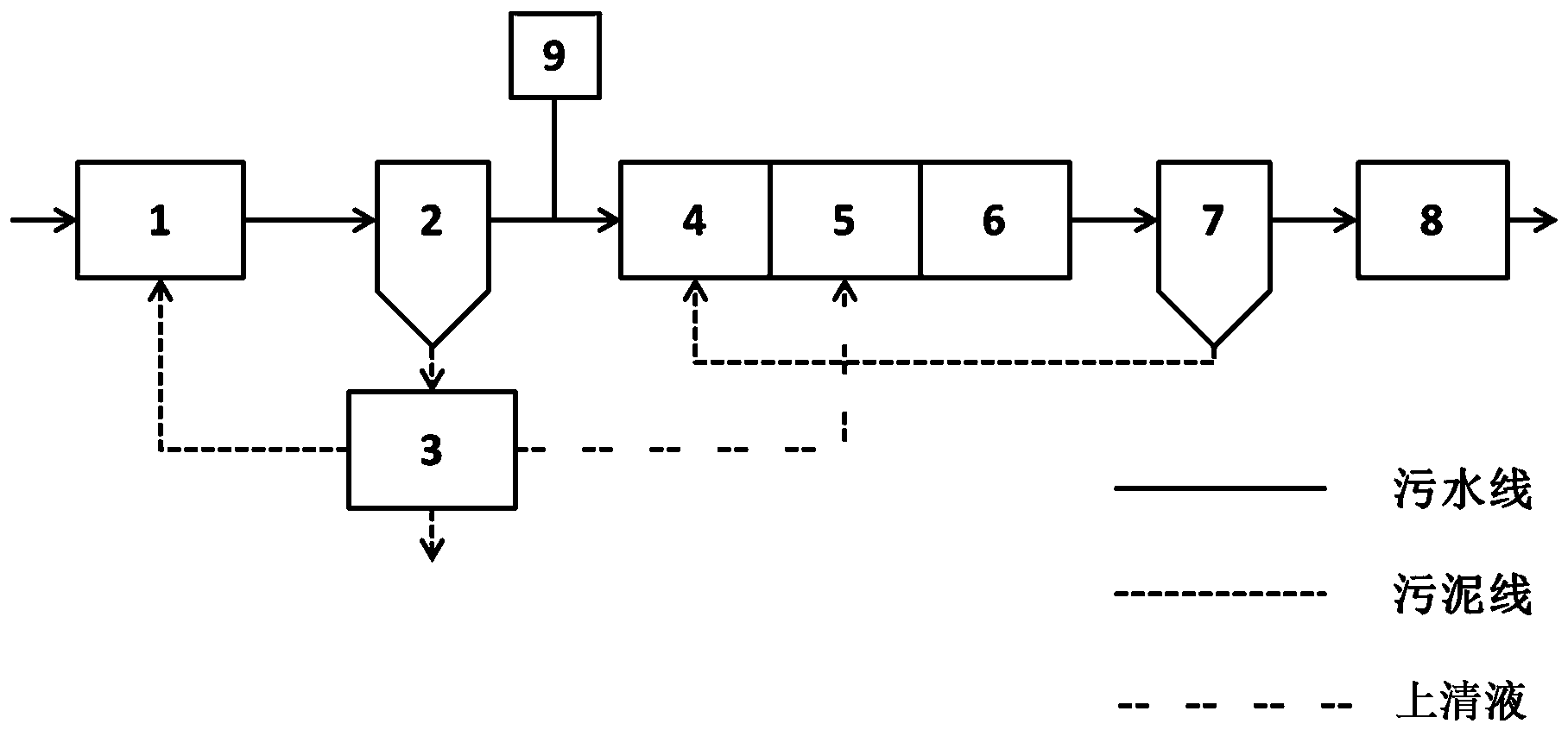
1.一种新型节能的高出水标准污水处理系统,包括碳源捕捉池(1)、一次沉淀池(2)、厌氧水解池(3)、二次沉淀池(7)、MBR滤池(8)和亚硝氮投加设备(9),碳源捕捉池上设置有待处理污水进入的进水口,碳源捕捉池的出水口与一次沉淀池的进水口相通;二次沉淀池的出水口与MBR滤池的进水口相通;其特征在于:所述一次沉淀池与二次沉淀池之间沿污水流向依次设置有一次厌氧氨氧化池(4)、短程反硝化池(5)和二次厌氧氨氧化池(6),一次沉淀池与一次厌氧氨氧化池、一次厌氧氨氧化池与短程反硝化池、短程反硝化池与二次厌氧氨氧化池、二次厌氧氨氧化池与二次沉淀池均相通;仅碳源捕捉池中设置有曝气装置,一次沉淀池的污泥出口与厌氧水解池相通,厌氧水解池的污泥出口与碳源捕捉池相通,厌氧水解池的上清液出口与短程反硝化池相通,二次沉淀池的污泥出口与一次厌氧氨氧化池相通;亚硝氮投加设备用于向一次沉淀池的出水中添加亚硝酸盐。
2.一种基于根据权利要求1所述的新型节能的高出水标准污水处理系统的处理工艺,其特征在于,通过以下步骤来实现:
a).曝气吸附,待处理的污水首先进入碳源捕捉池,曝气装置对进入碳源捕捉池的污水进行曝气,使池中的污泥与进水充分混合,池中微生物经相互结合形成的菌胶团对水中有机物质、金属物质、含氮物质和含磷物质进行吸附,处理后的污水流入一次沉淀池;
b).一次污水沉淀,进入一次沉淀池中的污水经自然沉降,使有机物含量极高的污泥与污水分离开,分离后的污水流入一次厌氧氨氧化池,污泥转入厌氧水解池;
c).有机物分解、污泥回流和碳源添加,进入厌氧水解池的污泥中的大分子有机物在各种异养菌的作用下,分解为可供其他微生物利用的小分子有机物;处理后的污泥部分回流至碳源捕捉池,上清液作为碳源加入至短程反硝化池中,同时也加入了一定量的铵根离子;剩余的污泥作为碳源回收排出;
d).一次厌氧氨氧化,亚硝氮投加设备向一次沉淀池的出水中加入亚硝酸盐,与污水一起进入一次厌氧氨氧化池中,池中的厌氧氨氧化菌将投加的亚硝酸盐与污水中原有的铵根离子共同转化为氮气排入空气,并同时产生一定量的硝酸盐;
e).反硝化作用,进入短程反硝化池中的污水在反硝化菌的作用下,利用厌氧水解池排入的上清液中的有机物,将一次厌氧氨氧化池出水中的全部硝酸盐还原为亚硝酸盐,处理后的污水进入二次厌氧氨氧化池;
f).二次厌氧氨氧化,污水进入二次厌氧氨氧化池后,经厌氧氨氧化菌的厌氧氨氧化作用,将短程反硝化池中生成的亚硝酸盐与污水及厌氧水解池上清液中的铵离子共同转化为氮气去除,出水流入二次沉淀池;
g).二次污水沉淀,在二次沉淀池中,污水经自然沉降作用,将含有厌氧氨氧化菌的污泥与污水分离开,上层污水流入MBR滤池,污泥经污泥泵回流至一次厌氧氨氧化池中,以补充一次厌氧氨氧化池中污泥量;
h).膜过滤,污水经MBR滤池的膜滤,将水中极细小的颗粒与水分离开,此时污水中污染物质浓度已达到排放标准。
3.根据权利要求2所述的新型节能的高出水标准污水处理系统的处理工艺,其特征在于:所述亚硝氮投加设备(9)向污水中投加的亚硝酸盐物质的量为一次沉淀池出水中铵根离子物质的量0.8~1.05倍,以保证有部分铵根离子剩余。
4.根据权利要求2所述的新型节能的高出水标准污水处理系统的处理工艺,其特征在于:所述一次厌氧氨氧化池(4)和二次厌氧氨氧化池(6)中培养有厌氧氨氧化菌,一次、二次厌氧氨氧化池中溶解氧的浓度在0.2mg/L以下;一次厌氧氨氧化池和二次厌氧氨氧化池中温度高于15℃。
说明书
一种新型节能的高出水标准污水处理系统及工艺
技术领域
本发明涉及一种污水处理系统及工艺,更具体的说,尤其涉及一种新型节能的高出水标准污水处理系统及工艺。
背景技术
目前的城市污水处理过程通常旨在去除污染物质,而这些污染物质(如有机物、氮元素、磷元素等)不仅是水质指标,同时也是人类生产、生活中需要的能源和资源。
以往的污水处理工艺主要为AO工艺(又称厌氧好氧工艺)、A2O工艺(为厌氧-缺氧-好氧工艺)、氧化沟工艺等,都需要大量曝气,耗电量大。且在污水处理过程中经常出现有机物浓度不足的情况,通常还需要往污水中加入大量有机物质,以补充反硝化细菌脱氮所需能量。同时由于硝化细菌世代时间段,繁殖快,池中污泥产量也极高,污泥处理费用也较高,这些条件使目前的污水处理费用大大提高。
本文旨在发明一种曝气量更低,耗能更低,脱氮效率更高,出水水质更好,且可以将污泥中可利用污染物进行回收利用的污水脱氮工艺。
发明内容
本发明为了克服上述技术问题的缺点,提供了一种新型节能的高出水标准污水处理系统及工艺。
本发明的新型节能的高出水标准污水处理系统,包括碳源捕捉池、一次沉淀池、厌氧水解池、二次沉淀池、MBR滤池和亚硝氮投加设备,碳源捕捉池上设置有待处理污水进入的进水口,碳源捕捉池的出水口与一次沉淀池的进水口相通;二次沉淀池的出水口与MBR滤池的进水口相通;其特征在于:所述一次沉淀池与二次沉淀池之间沿污水流向依次设置有一次厌氧氨氧化池、短程反硝化池和二次厌氧氨氧化池,一次沉淀池与一次厌氧氨氧化池、一次厌氧氨氧化池与短程反硝化池、短程反硝化池与二次厌氧氨氧化池、二次厌氧氨氧化池与二次沉淀池均相通;仅碳源捕捉池中设置有曝气装置,一次沉淀池的污泥出口与厌氧水解池相通,厌氧水解池的污泥出口与碳源捕捉池相通,厌氧水解池的上清液出口与短程反硝化池相通,二次沉淀池的污泥出口与一次厌氧氨氧化池相通;亚硝氮投加设备用于向一次沉淀池的出水中添加亚硝酸盐。
本发明的新型节能的高出水标准污水处理系统的处理工艺,其特征在于,通过以下步骤来实现:
a).曝气吸附,待处理的污水首先进入碳源捕捉池,曝气装置对进入碳源捕捉池的污水进行曝气,使池中的污泥与进水充分混合,池中微生物经相互结合形成的菌胶团对水中有机物质、金属物质、含氮物质和含磷物质进行吸附,处理后的污水流入一次沉淀池;
b).一次污水沉淀,进入一次沉淀池中的污水经自然沉降,使有机物含量极高的污泥与污水分离开,分离后的污水流入一次厌氧氨氧化池,污泥转入厌氧水解池;
c).有机物分解、污泥回流和碳源添加,进入厌氧水解池的污泥中的大分子有机物在各种异养菌的作用下,分解为可供其他微生物利用的小分子有机物;处理后的污泥部分回流至碳源捕捉池,上清液作为碳源加入至短程反硝化池中,同时也加入了一定量的铵根离子;剩余的污泥作为碳源回收排出;
d).一次厌氧氨氧化,亚硝氮投加设备向一次沉淀池的出水中加入亚硝酸盐,与污水一起进入一次厌氧氨氧化池中,池中的厌氧氨氧化菌将投加的亚硝酸盐与污水中原有的铵根离子共同转化为氮气排入空气,并同时产生一定量的硝酸盐;
e).反硝化作用,进入短程反硝化池中的污水在反硝化菌的作用下,利用厌氧水解池排入的上清液中的有机物,将一次厌氧氨氧化池出水中的全部硝酸盐还原为亚硝酸盐,处理后的污水进入二次厌氧氨氧化池;
f).二次厌氧氨氧化,污水进入二次厌氧氨氧化池后,经厌氧氨氧化菌的厌氧氨氧化作用,将短程反硝化池中生成的亚硝酸盐与污水及厌氧水解池上清液中的铵离子共同转化为氮气去除,出水流入二次沉淀池;
g).二次污水沉淀,在二次沉淀池中,污水经自然沉降作用,将含有厌氧氨氧化菌的污泥与污水分离开,上层污水流入MBR滤池,污泥经污泥泵回流至一次厌氧氨氧化池中,以补充一次厌氧氨氧化池中污泥量;
h).膜过滤,污水经MBR滤池的膜滤,将水中极细小的颗粒与水分离开,此时污水中污染物质浓度已达到排放标准。
本发明的新型节能的高出水标准污水处理系统的处理工艺,所述亚硝氮投加设备向污水中投加的亚硝酸盐物质的量为一次沉淀池出水中铵根离子物质的量0.8~1.05倍,以保证有部分铵根离子剩余。
本发明的新型节能的高出水标准污水处理系统的处理工艺,所述一次厌氧氨氧化池和二次厌氧氨氧化池中培养有厌氧氨氧化菌,一次、二次厌氧氨氧化池中溶解氧的浓度在0.2mg/L以下;一次厌氧氨氧化池和二次厌氧氨氧化池中温度高于15℃。
本发明的有益效果是:本发明的新型节能的高出水标准污水处理系统及工艺,待处理的污水首先进入碳源捕捉池,仅有碳源捕捉池进行曝气操作,使得耗能更低;第一次厌氧氨氧化(即脱氮处理),利用投加的亚硝酸盐与污水中原有的铵根离子共同转化为氮气排出,反硝化作用在反硝化菌的作用下利用厌氧水解池的上清液中的有机物将第一次厌氧氨氧化产生的硝酸盐转化为亚硝酸盐,接着进行第二次厌氧氨氧化(即脱氮处理),将反硝化作用产生的全部亚硝酸盐与污水和上清液中的铵根离子共同转化为氮气排出,经过连续的厌氧氨氧化、反硝化、厌氧氨氧化处理后,脱氮效率更高,且最终出水水质更好。可见,本发明的城市污水处理系统及工艺,曝气量更低,耗能更低,脱氮效率更高,出水水质更好,且处理过程中可将污泥中污染物进行充分利用。
- 2021-07-14久马高速生活污水设备操作培训
- 2021-07-14四川交建污水处理技术培训
- 2021-03-31污水药剂搅拌装置及其使用方法
- 2020-10-02集沉砂隔油压榨一体过滤设备
- 2020-09-29市政污水排污管铺设施工系统















电话:028-81291392
手机:18123218647
邮箱:349984202@qq.com